首页

能动学院本科生在能源领域TOP期刊ECM发表高水平论文

作者:游怀亮 部门审稿人:戴楚怡、陈代芬 单位:能源与动力学院 发布时间:2024-09-09 点击量:266

近日,我校能动学院能源与动力工程专业2021级级本科生黄子豪,以第一作者身份在能源/燃料领域一区TOP期刊Energy Conversion and ManagementIF=9.9)上发表题目为“Performance analysis and multi-objective optimization of a novel solid oxide fuel cell-based poly-generation and condensation dehumidification system”的研究论文(https://doi.org/10.1016/j.enconman.2024.118935),能动学院教师游怀亮与陈代芬教授为论文通讯作者,充分展现了学院在本科生科研素养和创新能力培养上取得的显著成效。

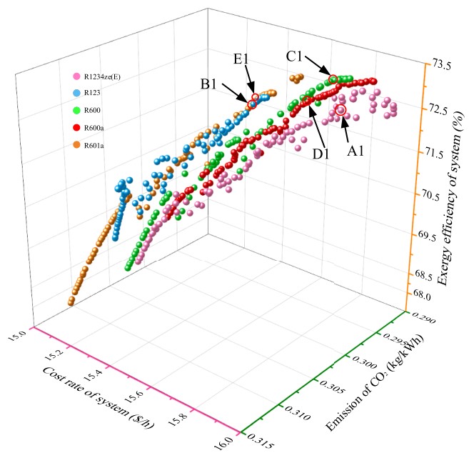
该研究提出了一种耦合高温固体氧化物燃料电池发电、制冷/制热及除湿功能的高效能源系统,并运用全生命周期评价方法、RBF神经网络训练方法及快速非支配遗传算法对系统热力性能、经济性能、CO2排放率及除湿性能进行了综合评价与全局优化,优化结果表明该耦合系统能源效率提高2.378%,碳排放率减少0.008 kg/kWh,湿空气处理量增加0.368 kg/s,为绿色低碳/高效能源转化技术的开发与应用提供重要理论依据。

图1.jpg

图2.jpg

此前,该学生曾以第一作者身份在能源/化工领域一区TOP期刊《Fuel》(IF=7.4)上发表论文《Thermodynamic, economic, and environmental analyses and multi-objective optimization of a CCHP system based on solid oxide fuel cell and gas turbine hybrid power cycle》(https://doi.org/10.1016/j.fuel.2024.131649)。

(撰稿:游怀亮 初审:张静 二审:张驰 终审:毛晖 编辑:张静)

学校要闻